【公表番号】特表2012-529505
【公表日】平成24年11月22日(2012.11.22)
【出願人】アストラゼネカ アクチボラグ
【要約】
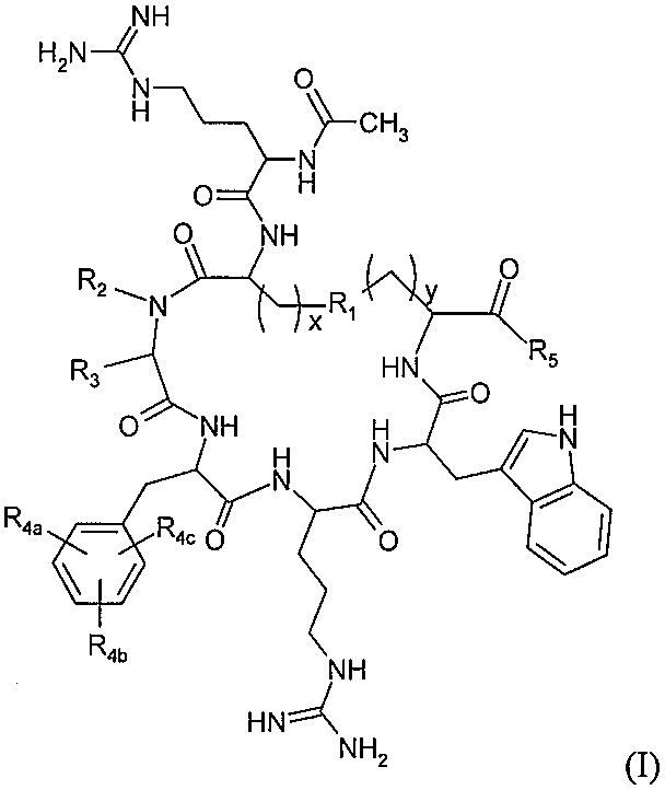
本発明は、式(I)のメラノコルチン受容体特異的な環状ペプチドまたはその医薬的に許容できる塩に関するものであり、式中のR1、R2、R3、R4a、R4b、R4c、R5、xおよびyは明細書中に定めたものである。これらの化合物は、エネルギー恒常性および代謝関連(たとえば糖尿病)、摂食関連および/またはエネルギーバランスおよび体重関連の疾患、障害および/または状態の処置に特に有用であり、これには肥満症、過体重、ならびに肥満症および/または過体重に関連する疾患、障害および/または状態、たとえば2型糖尿病およびメタボリックシンドロームが含まれる。
