【国際公開番号】WO2010/147165
【発行日】平成24年12月6日(2012.12.6)
【出願人】積水化学工業株式会社
【要約】
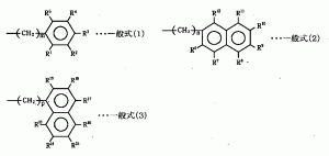
本発明は、RNAウイルスがヒトに感染するのを効果的に阻止して症状の発現の予防或いは症状が表れたとしても症状の軽減を図ることができると共に、不測の変色や日常の使用条件下での変色が生じにくいRNAウイルス感染阻止剤を提供する。本発明のRNAウイルス感染阻止剤は、線状高分子の側鎖に一般式(1)~(3)で示される構造式(それぞれの一般式中で示されるR1~R5、R6~R12及びR13~R19の各置換基のうち少なくとも一つは、カルボキシ基、スルホン酸基又はそれらの塩若しくは誘導体である)の置換基のうち少なくとも一つを有するRNAウイルス感染阻止化合物を含有することを特徴とする。
