【公表番号】特表2012-532875
【公表日】平成24年12月20日(2012.12.20)
【出願人】ジヤンセン・フアーマシユーチカ・ナームローゼ・フエンノートシヤツプ
【要約】
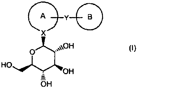
本発明は、2型糖尿病及びシンドロームXなどの、ブドウ糖関連障害を処置及び予防するためのコ-セラピー並びにその方法を目的とし、上記方法は、(a)メトホルミン又はその製薬上許容され得る塩;及び(b)式(I)の化合物を含む治療上有効な量のコ-セラピーを、処置を必要とする患者に投与することを含む。本発明は、ブドウ糖関連障害のコ-セラピーのための製薬組成物を更に目的とする。
【化1】
