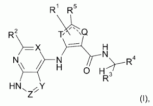
新規なアザ複素環化合物 Posted on 2013/01/18 by bio 【公表番号】特表2013-501713 【公表日】平成25年1月17日(2013.1.17) 【出願人】メルク パテント ゲゼルシャフト ミット ベシュレンクテル ハフツング 【要約】 本発明は、式(I)に記載の新規な置換アザ複素環化合物、および癌などの過剰増殖性疾患を処置するためのそれらの製造および使用を提供する。