【公開番号】特開2012-214746
【公開日】平成24年11月8日(2012.11.8)
【出願人】日油株式会社
【要約】
【課題】生理活性物質の化学修飾やリポソームなどドラッグデリバリーシステムに使用可能なチオール反応性ポリオキシアルキレン修飾脂質およびその製造方法を提供すること。
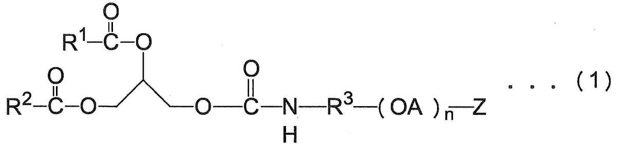
【解決手段】下記の式(1)

(式中、R1とR2は同一または異なる炭素数4~24の炭化水素基であり、R3は炭素数1~6の2価の炭化水素基であり、OAは炭素数2~4のオキシアルキレン基であり、nは前記オキシアルキレン基の平均付加モル数で5~1000であり、Zはマレイミドまたはヨードアセトアミドのいずれかを含んで成る基である。)
で表されるポリオキシアルキレン修飾脂質。