【公開番号】特開2013-47266
【公開日】平成25年3月7日(2013.3.7)
【出願人】アボット・ラボラトリーズ
【要約】
【課題】レトロウイルスプロテアーゼを阻害するため、特にヒト免疫不全ウイルス(HIV)プロテアーゼを阻害するための新規化合物と組成物及び方法およびレトロウイルス感染、特にHIV感染を阻害するための組成物及び方法、前記化合物の製造方法、並びに該方法で使用される合成中間体の提供。
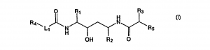
【解決手段】HIVプロテアーゼ阻害剤としての式(I)の化合物又はその医薬的に許容可能な塩、エステルもしくはプロドラッグおよびそれらの中間体。
