【公開番号】特開2013-47243
【公開日】平成25年3月7日(2013.3.7)
【出願人】アボット・ラボラトリーズ
【要約】
【課題】抗菌活性を有する新規半合成マクロライド、これらの化合物を含む医薬組成物、および治療の医療方法の提供。
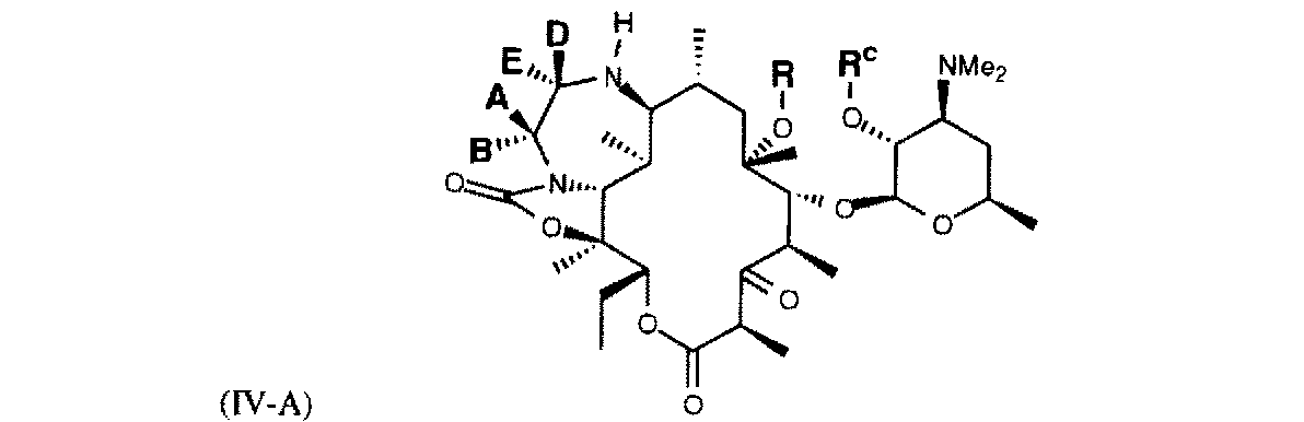
【解決手段】式(IV-A)で示す6-O-置換エリスロマイシンケトリド誘導体。

[式中、Rcは水素またはヒドロキシ保護基、Rは、置換されたメチル基、A、B、DおよびEは、A、B、DおよびEのうち少なくとも2つが水素である条件下で、水素、置換基で置換されていてもよいC1-C6-アルキル、アリール、置換アリール、ヘテロアリール、置換ヘテロアリール、ヘテロシクロアルキル、ヒドロキシ、C1-C6-アルコキシ、Br、Cl、FまたはIよりなるハロゲンなどから選択される。]